filtro TeX
Moodle 1.6
Descripción
El filtro TeX puede traducir automáticamente las expresiones en notación TeX que hayamos introducido en foros o recursos como imágenes insertadas de por ejemplo fórmulas, ecuaciones, tablas, diagramas,...Aunque para ciertas de estas es más recomendable utilizar los editores html incorporados.
El filtro requiere un programa binario llamando MimeTex que debe ser instalado en su servidor de Moodle- disponibles versiones para Linux (glib2.3), Windows y Mac OS X.
Utilización
Una vez instalado nuestro filtro TeX no tenemos más que introducir en nuestros recursos las fórmulas en notación TeX que necesitemos. La manera de activar este filtro es encerrar nuestra expresión con el símbolo del doble dolar de la siguiente forma:
$$fórmula en notación TeX$$
Ejemplos
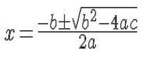
Un ejemplo práctico lo podemos ver introduciendo las fómulas:
$$a^2+bx+c=0$$
$$\LARGE x=\frac{-b\pm\sqrt{b^2-4ac}}{2a}$$
Con lo que nuestro filtro TeX nos devuelve respectivamente las siguientes imágenes:
Ver también
- LaTeX, Moodle y LyX - Video de Carlos Morales
- TeX Filter Glossary - Es un glosario que puedemos añadir a nuestro curso y que detalla el empleo soportado de la notación TeX .
- mimetex - generates mathematical expressions
- LaTeX - the LaTeX document preparation system.
- ghostscript - required to render the image
- MikTeX - LaTeX for Windows systems
